
Adjust position by dodging overlaps to the side.
position_dodgev.RdAdjust position by dodging overlaps to the side.
Arguments
- height
Dodging height, when different to the height of the individual elements. This is useful when you want to align narrow geoms with wider geoms. See the examples for a use case.
Examples
ggplot(mtcars, aes(factor(cyl), fill = factor(vs))) +
geom_bar(position = "dodge")
ggplot(diamonds, aes(price, fill = cut)) +
geom_histogram(position="dodge")
#> `stat_bin()` using `bins = 30`. Pick better value with `binwidth`.
# see ?geom_boxplot and ?geom_bar for more examples
# To dodge items with different heights, you need to be explicit
df <- data.frame(x=c("a","a","b","b"), y=2:5, g = rep(1:2, 2))
p <- ggplot(df, aes(x, y, group = g)) +
geom_bar(
stat = "identity", position = "dodge",
fill = "grey50", colour = "black"
)
p
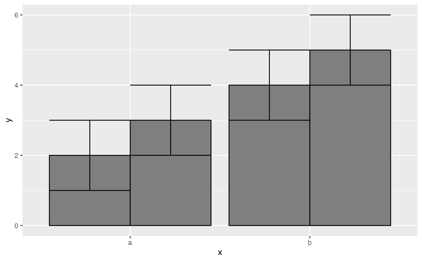
# A line range has no height:
p + geom_linerange(aes(ymin = y-1, ymax = y+1), position = "dodge")
#> Warning: Width not defined
#> ℹ Set with `position_dodge(width = ...)`
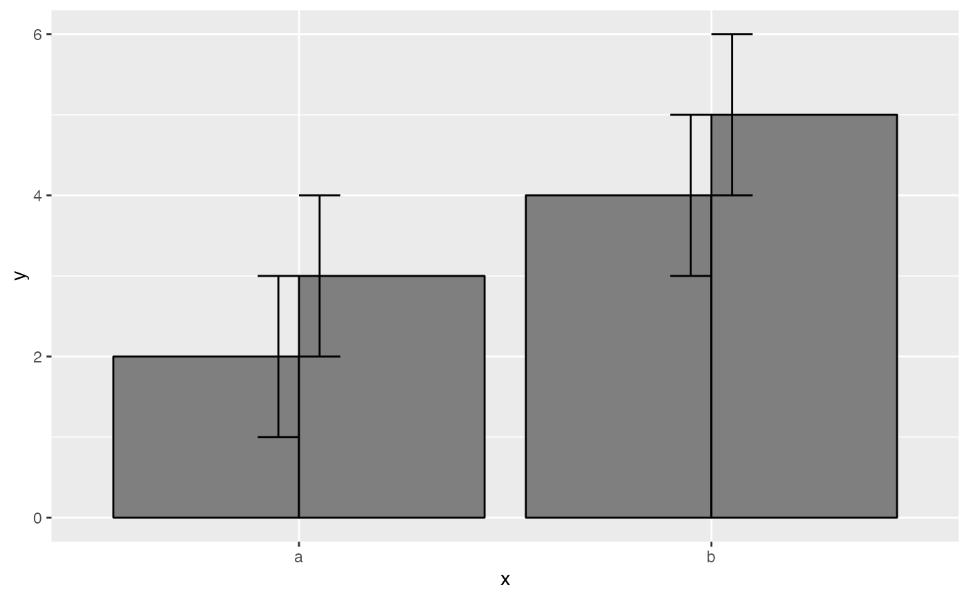
# You need to explicitly specify the height for dodging
p + geom_linerange(aes(ymin = y-1, ymax = y+1),
position = position_dodge(width = 0.9))
# Similarly with error bars:
p + geom_errorbar(aes(ymin = y-1, ymax = y+1), width = 0.2,
position = "dodge")
p + geom_errorbar(aes(ymin = y-1, ymax = y+1, height = 0.2),
position = position_dodge(width = 0.90))
#> Warning: Ignoring unknown aesthetics: height